PSAT Math Multiple-Choice Question 765: Answer and Explanation
Question: 765
What represents the range of x-values in this inequality?
-3(x + 4) > 2x
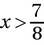
- A.

- B.

- C.

- D.

Correct Answer: A
Explanation:
(A) First, isolate what's inside the parentheses by dividing both sides by -3. Remember to flip the inequality sign because you are dividing by a negative:
Next, get a common denominator for the x-terms:
Then subtract the left-side x-term from both sides of the inequality to get all x-terms on the right side:
Finally, divide both sides by
, which is the same as multiplying both sides by
.
Again, remember to flip the inequality since we are multiplying by a negative number:
or 
The correct response is choice (A).
Test Information
- Use your browser's back button to return to your test results.
- Do more Math Multiple-Choice Tests tests.
More Tests
- PSAT Math Multiple-Choice Test 1
- PSAT Math Multiple-Choice Test 2
- PSAT Math Multiple-Choice Test 3
- PSAT Math Multiple-Choice Test 4
- PSAT Math Multiple-Choice Test 5
- PSAT Math Multiple-Choice Test 6
- PSAT Math Multiple-Choice Test 7
- PSAT Math Multiple-Choice Test 8
- PSAT Math Multiple-Choice Test 9
- PSAT Math Multiple-Choice Test 10
- PSAT Math Multiple-Choice Test 11
- PSAT Math Multiple-Choice Test 12
- PSAT Math Multiple-Choice Test 13
- PSAT Math Multiple-Choice Test 14
- PSAT Math Multiple-Choice Test 15
- PSAT Math Multiple-Choice Test 16
- PSAT Math Multiple-Choice Test 17
- PSAT Math Multiple-Choice Test 18
- PSAT Math Multiple-Choice Test 19
- PSAT Math Multiple-Choice Test 20
- PSAT Math Multiple-Choice Test 21
- PSAT Math Multiple-Choice Test 22
- PSAT Math Multiple-Choice Test 23
- PSAT Math Multiple-Choice Test 24
- PSAT Math Multiple-Choice Test 25