PSAT Math Multiple-Choice Question 714: Answer and Explanation
Question: 714
Which trigonometric expression would give the value of angle X?

- A.

- B.

- C.

- D.

Correct Answer: A
Explanation:
(A) Here we're looking for an angle measure, so we need an inverse trigonometry function. Let's go through the answer choices.
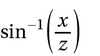
Choice (A) works because sine is the value of the opposite side over the hypotenuse. Side x is opposite of angle X, and side z is the hypotenuse. Thus,
would provide the measure of angle X.
Choice (B) doesn't work because side x is opposite of angle X rather than adjacent, so we don't want to use cos-1.
Choice (C) won't work because we want an inverse trigonometry function rather than a trigonometry function. The output of an inverse trigonometry function is an angle. In contrast, the output of a trigonometry function is the ratio of two sides of a right triangle.
Choice (D) doesn't work because side y is adjacent to angle X, so sin-1 is not the appropriate inverse trigonometry function to use.
Test Information
- Use your browser's back button to return to your test results.
- Do more Math Multiple-Choice Tests tests.
More Tests
- PSAT Math Multiple-Choice Test 1
- PSAT Math Multiple-Choice Test 2
- PSAT Math Multiple-Choice Test 3
- PSAT Math Multiple-Choice Test 4
- PSAT Math Multiple-Choice Test 5
- PSAT Math Multiple-Choice Test 6
- PSAT Math Multiple-Choice Test 7
- PSAT Math Multiple-Choice Test 8
- PSAT Math Multiple-Choice Test 9
- PSAT Math Multiple-Choice Test 10
- PSAT Math Multiple-Choice Test 11
- PSAT Math Multiple-Choice Test 12
- PSAT Math Multiple-Choice Test 13
- PSAT Math Multiple-Choice Test 14
- PSAT Math Multiple-Choice Test 15
- PSAT Math Multiple-Choice Test 16
- PSAT Math Multiple-Choice Test 17
- PSAT Math Multiple-Choice Test 18
- PSAT Math Multiple-Choice Test 19
- PSAT Math Multiple-Choice Test 20
- PSAT Math Multiple-Choice Test 21
- PSAT Math Multiple-Choice Test 22
- PSAT Math Multiple-Choice Test 23
- PSAT Math Multiple-Choice Test 24
- PSAT Math Multiple-Choice Test 25