PSAT Math Multiple-Choice Question 703: Answer and Explanation
Question: 703
A train is traveling for 5 hours at a constant rate of x miles per hour and then travels an additional
hours at a speed of
miles per hour. If the train travels a total of 300 miles during these two segments, which equation could be used to solve for x?
- A. x2 + 100x - 6,000 = 0
- B. x2 + 100x - 300 = 0
- C. x2 + 5x - 300 = 0
- D. 3x2 +150x - 6,000 = 0
Correct Answer: A
Explanation:
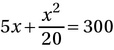
(A) Remember that d = rt, where d is distance, r is rate, and t is time. We have two different rates and two different times. We can multiply the coinciding rates and times together and then can add them to obtain the total distance traveled, 300 miles:
Multiplying the two fractions together leaves:

None of the answer choices has a denominator, so let's multiply both sides by 20 to get rid of the denominator:
100x + x2 = 6,000
Subtracting 6,000 from both sides and rearranging the terms gives:
x2 + 100x - 6,000 = 0
This matches choice (A).
Test Information
- Use your browser's back button to return to your test results.
- Do more Math Multiple-Choice Tests tests.
More Tests
- PSAT Math Multiple-Choice Test 1
- PSAT Math Multiple-Choice Test 2
- PSAT Math Multiple-Choice Test 3
- PSAT Math Multiple-Choice Test 4
- PSAT Math Multiple-Choice Test 5
- PSAT Math Multiple-Choice Test 6
- PSAT Math Multiple-Choice Test 7
- PSAT Math Multiple-Choice Test 8
- PSAT Math Multiple-Choice Test 9
- PSAT Math Multiple-Choice Test 10
- PSAT Math Multiple-Choice Test 11
- PSAT Math Multiple-Choice Test 12
- PSAT Math Multiple-Choice Test 13
- PSAT Math Multiple-Choice Test 14
- PSAT Math Multiple-Choice Test 15
- PSAT Math Multiple-Choice Test 16
- PSAT Math Multiple-Choice Test 17
- PSAT Math Multiple-Choice Test 18
- PSAT Math Multiple-Choice Test 19
- PSAT Math Multiple-Choice Test 20
- PSAT Math Multiple-Choice Test 21
- PSAT Math Multiple-Choice Test 22
- PSAT Math Multiple-Choice Test 23
- PSAT Math Multiple-Choice Test 24
- PSAT Math Multiple-Choice Test 25