PSAT Math Multiple-Choice Question 7: Answer and Explanation
Question: 7
Which of the following expressions is equivalent to
?
- A.

- B. 3b3c
- C.

- D. 20.25b3c
Correct Answer: A
Explanation:
A
The question asks for an equivalent form of an expression. Notice the fractional exponents in the answer choices; when dealing with a question about fractional exponents, remember the exponent rules. Start with applying the root to the coefficient 81. Use your calculator to find
= 3. Eliminate (C) and (D) because these answer choices include the wrong coefficient. Next, apply the root to the b3 term. In a fractional exponent, the numerator is the power the base is raised to and the denominator is the root of the base. Therefore,
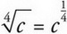
. Eliminate (B) because this answer choice includes b3 instead. Similarly,
, and (B) can be eliminated because it includes c instead. The correct answer is (A).
Test Information
- Use your browser's back button to return to your test results.
- Do more Math Multiple-Choice Tests tests.
More Tests
- PSAT Math Multiple-Choice Test 1
- PSAT Math Multiple-Choice Test 2
- PSAT Math Multiple-Choice Test 3
- PSAT Math Multiple-Choice Test 4
- PSAT Math Multiple-Choice Test 5
- PSAT Math Multiple-Choice Test 6
- PSAT Math Multiple-Choice Test 7
- PSAT Math Multiple-Choice Test 8
- PSAT Math Multiple-Choice Test 9
- PSAT Math Multiple-Choice Test 10
- PSAT Math Multiple-Choice Test 11
- PSAT Math Multiple-Choice Test 12
- PSAT Math Multiple-Choice Test 13
- PSAT Math Multiple-Choice Test 14
- PSAT Math Multiple-Choice Test 15
- PSAT Math Multiple-Choice Test 16
- PSAT Math Multiple-Choice Test 17
- PSAT Math Multiple-Choice Test 18
- PSAT Math Multiple-Choice Test 19
- PSAT Math Multiple-Choice Test 20
- PSAT Math Multiple-Choice Test 21
- PSAT Math Multiple-Choice Test 22
- PSAT Math Multiple-Choice Test 23
- PSAT Math Multiple-Choice Test 24
- PSAT Math Multiple-Choice Test 25