PSAT Math Multiple-Choice Question 681: Answer and Explanation
Question: 681
A square piece of paper is folded in half n times. If L is the length of an edge, what is the area of the piece of paper after it is folded in half n times?
- A.

- B.

- C.

- D.

Correct Answer: B
Explanation:
(B)

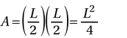
From the drawings, we can see that if the paper is folded in half once, the area is:

After the second fold:

After the third fold:

We can see that each time, the numerator stays the same while the denominator is multiplied by 2. Therefore, the numerator will always be L2 while the denominator will be 2n. Therefore, area can be represented by:

Choice (B) is the correct answer.
Alternatively, you could have plugged the values for the areas for each fold into the answer choices to see that only choice (B) works.
Test Information
- Use your browser's back button to return to your test results.
- Do more Math Multiple-Choice Tests tests.
More Tests
- PSAT Math Multiple-Choice Test 1
- PSAT Math Multiple-Choice Test 2
- PSAT Math Multiple-Choice Test 3
- PSAT Math Multiple-Choice Test 4
- PSAT Math Multiple-Choice Test 5
- PSAT Math Multiple-Choice Test 6
- PSAT Math Multiple-Choice Test 7
- PSAT Math Multiple-Choice Test 8
- PSAT Math Multiple-Choice Test 9
- PSAT Math Multiple-Choice Test 10
- PSAT Math Multiple-Choice Test 11
- PSAT Math Multiple-Choice Test 12
- PSAT Math Multiple-Choice Test 13
- PSAT Math Multiple-Choice Test 14
- PSAT Math Multiple-Choice Test 15
- PSAT Math Multiple-Choice Test 16
- PSAT Math Multiple-Choice Test 17
- PSAT Math Multiple-Choice Test 18
- PSAT Math Multiple-Choice Test 19
- PSAT Math Multiple-Choice Test 20
- PSAT Math Multiple-Choice Test 21
- PSAT Math Multiple-Choice Test 22
- PSAT Math Multiple-Choice Test 23
- PSAT Math Multiple-Choice Test 24
- PSAT Math Multiple-Choice Test 25