PSAT Math Multiple-Choice Question 675: Answer and Explanation
Question: 675
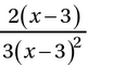
Which of the following is equivalent to the expression 
- A.

- B.

- C.

- D.

Correct Answer: D
Explanation:
(D) Look at the answer choices. All of the choices indicate that at least one (x - 3) factor cancels out, so divide the numerator by (x - 3):

So the expression can be rewritten as:

You can cancel an (x - 3) term from the top and bottom:

The number 2 can be factored out of the numerator:

Another (x - 3) term cancels:

This is choice (D).
Alternatively, you could have factored the numerator directly:
2x2 - 12x +18 = 2(x2 - 6x +9) = 2(x - 3)2
Then you could have canceled out the (x - 3)2 term from the denominator.
Test Information
- Use your browser's back button to return to your test results.
- Do more Math Multiple-Choice Tests tests.
More Tests
- PSAT Math Multiple-Choice Test 1
- PSAT Math Multiple-Choice Test 2
- PSAT Math Multiple-Choice Test 3
- PSAT Math Multiple-Choice Test 4
- PSAT Math Multiple-Choice Test 5
- PSAT Math Multiple-Choice Test 6
- PSAT Math Multiple-Choice Test 7
- PSAT Math Multiple-Choice Test 8
- PSAT Math Multiple-Choice Test 9
- PSAT Math Multiple-Choice Test 10
- PSAT Math Multiple-Choice Test 11
- PSAT Math Multiple-Choice Test 12
- PSAT Math Multiple-Choice Test 13
- PSAT Math Multiple-Choice Test 14
- PSAT Math Multiple-Choice Test 15
- PSAT Math Multiple-Choice Test 16
- PSAT Math Multiple-Choice Test 17
- PSAT Math Multiple-Choice Test 18
- PSAT Math Multiple-Choice Test 19
- PSAT Math Multiple-Choice Test 20
- PSAT Math Multiple-Choice Test 21
- PSAT Math Multiple-Choice Test 22
- PSAT Math Multiple-Choice Test 23
- PSAT Math Multiple-Choice Test 24
- PSAT Math Multiple-Choice Test 25