PSAT Math Multiple-Choice Question 668: Answer and Explanation
Question: 668
What is the vertex of the parabola (y - 4)2 = 17(x + 2)?
- A. (-2, 4)
- B. (2, -4)
- C. (-4, 2)
- D. (4, -2)
Correct Answer: A
Explanation:
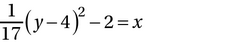
(A) This equation is probably a bit different from the equations of the parabolas that you're used to seeing. To get it into standard form, we need to solve for x instead of the y as we usually do:

This is a parabola rotated 90 degrees clockwise. The standard form can be represented by the equation:
x = a(y - k)2 + h
Therefore, in this problem, k = 4 and h = -2. So (h, k) is (-2, 4), as shown in choice (A). Parabola problems like this may not be on the PSAT, but it is included here so that you will be as prepared as possible.
Test Information
- Use your browser's back button to return to your test results.
- Do more Math Multiple-Choice Tests tests.
More Tests
- PSAT Math Multiple-Choice Test 1
- PSAT Math Multiple-Choice Test 2
- PSAT Math Multiple-Choice Test 3
- PSAT Math Multiple-Choice Test 4
- PSAT Math Multiple-Choice Test 5
- PSAT Math Multiple-Choice Test 6
- PSAT Math Multiple-Choice Test 7
- PSAT Math Multiple-Choice Test 8
- PSAT Math Multiple-Choice Test 9
- PSAT Math Multiple-Choice Test 10
- PSAT Math Multiple-Choice Test 11
- PSAT Math Multiple-Choice Test 12
- PSAT Math Multiple-Choice Test 13
- PSAT Math Multiple-Choice Test 14
- PSAT Math Multiple-Choice Test 15
- PSAT Math Multiple-Choice Test 16
- PSAT Math Multiple-Choice Test 17
- PSAT Math Multiple-Choice Test 18
- PSAT Math Multiple-Choice Test 19
- PSAT Math Multiple-Choice Test 20
- PSAT Math Multiple-Choice Test 21
- PSAT Math Multiple-Choice Test 22
- PSAT Math Multiple-Choice Test 23
- PSAT Math Multiple-Choice Test 24
- PSAT Math Multiple-Choice Test 25