PSAT Math Multiple-Choice Question 659: Answer and Explanation
Question: 659
If a store has a sale in which all prices are discounted by two-thirds and also distributes coupons that take an additional 20 percent off the price, what is the fraction of the original price that a customer using a coupon would pay during the store's sale?
- A.

- B.

- C.

- D.

Correct Answer: C
Explanation:
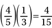
(C) If prices are discounted by
, that means you're still paying
of the original price. If you also have a coupon that discounts 20%, you're still paying 80% of that price. Since the sale price is
of the original price, the price with the coupon is 80% of
of the original price. The fraction
(or
if that makes more sense to you) can represent 80%. So we can find 80% of
:

Choice (C) is the answer.
Test Information
- Use your browser's back button to return to your test results.
- Do more Math Multiple-Choice Tests tests.
More Tests
- PSAT Math Multiple-Choice Test 1
- PSAT Math Multiple-Choice Test 2
- PSAT Math Multiple-Choice Test 3
- PSAT Math Multiple-Choice Test 4
- PSAT Math Multiple-Choice Test 5
- PSAT Math Multiple-Choice Test 6
- PSAT Math Multiple-Choice Test 7
- PSAT Math Multiple-Choice Test 8
- PSAT Math Multiple-Choice Test 9
- PSAT Math Multiple-Choice Test 10
- PSAT Math Multiple-Choice Test 11
- PSAT Math Multiple-Choice Test 12
- PSAT Math Multiple-Choice Test 13
- PSAT Math Multiple-Choice Test 14
- PSAT Math Multiple-Choice Test 15
- PSAT Math Multiple-Choice Test 16
- PSAT Math Multiple-Choice Test 17
- PSAT Math Multiple-Choice Test 18
- PSAT Math Multiple-Choice Test 19
- PSAT Math Multiple-Choice Test 20
- PSAT Math Multiple-Choice Test 21
- PSAT Math Multiple-Choice Test 22
- PSAT Math Multiple-Choice Test 23
- PSAT Math Multiple-Choice Test 24
- PSAT Math Multiple-Choice Test 25