PSAT Math Multiple-Choice Question 512: Answer and Explanation
Question: 512
Fibi has a fish tank that can hold a given number of cubic centimeters of water. She measures her fish tank and finds that it has a length of 1,219 millimeters, a width of 0.305 meters, and a depth of 406 millimeters. What are the measurements (length, width, and depth, respectively) of her fish tank in centimeters? (Note: 1 centimeter = 10 millimeters, and 1 meter = 100 centimeters)
- A. 121.9 cm × 30.5 cm × 4.06 cm
- B. 121.9 cm × 30.5 cm × 40.6 cm
- C. 12,190 cm × 305 cm × 4,060 cm
- D. 12,190 cm × 305 cm × 406,000 cm
Correct Answer: B
Explanation:
B
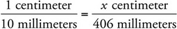
The question asks for a set of measurements and gives conflicting units. When dealing with unit conversions, make a proportion, being sure to match up units. There are 3 measurements, so deal with one at a time. The proportion for the length is . Cross-multiply to get 10x = 1,219, then divide both sides by 10 to get x = 121.9 centimeters. The question says that the length is given first, so (C) and (D) can be eliminated, since these have a length of 12,190 cm. The remaining answers have the same value for the width, 30.5 cm, so skip that proportion and go right to the one for depth. The proportion for depth is
. Cross-multiply to get 10x = 406, then divide both sides by 10 to get x = 40.6 centimeters. The correct answer is (B).
Test Information
- Use your browser's back button to return to your test results.
- Do more Math Multiple-Choice Tests tests.
More Tests
- PSAT Math Multiple-Choice Test 1
- PSAT Math Multiple-Choice Test 2
- PSAT Math Multiple-Choice Test 3
- PSAT Math Multiple-Choice Test 4
- PSAT Math Multiple-Choice Test 5
- PSAT Math Multiple-Choice Test 6
- PSAT Math Multiple-Choice Test 7
- PSAT Math Multiple-Choice Test 8
- PSAT Math Multiple-Choice Test 9
- PSAT Math Multiple-Choice Test 10
- PSAT Math Multiple-Choice Test 11
- PSAT Math Multiple-Choice Test 12
- PSAT Math Multiple-Choice Test 13
- PSAT Math Multiple-Choice Test 14
- PSAT Math Multiple-Choice Test 15
- PSAT Math Multiple-Choice Test 16
- PSAT Math Multiple-Choice Test 17
- PSAT Math Multiple-Choice Test 18
- PSAT Math Multiple-Choice Test 19
- PSAT Math Multiple-Choice Test 20
- PSAT Math Multiple-Choice Test 21
- PSAT Math Multiple-Choice Test 22
- PSAT Math Multiple-Choice Test 23
- PSAT Math Multiple-Choice Test 24
- PSAT Math Multiple-Choice Test 25