PSAT Math Multiple-Choice Question 170: Answer and Explanation
Question: 170

Which of the following is equivalent to the expression above?
- A.

- B.

- C.

- D.

Correct Answer: C
Explanation:
C
Difficulty: Easy
Category: Passport to Advanced Math/Rational Expressions
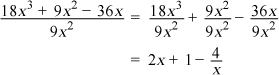
Getting to the Answer: Don't be tempted—you can't simply cancel one term when a polynomial is divided by a monomial. You can, however, split the expression into three terms, each with a denominator of 9 x2, and simplify. You could also use polynomial long division to answer the question. Use whichever method gets you to the answer more quickly on test day. For example:

Choice (C) is correct.
Test Information
- Use your browser's back button to return to your test results.
- Do more Math Multiple-Choice Tests tests.
More Tests
- PSAT Math Multiple-Choice Test 1
- PSAT Math Multiple-Choice Test 2
- PSAT Math Multiple-Choice Test 3
- PSAT Math Multiple-Choice Test 4
- PSAT Math Multiple-Choice Test 5
- PSAT Math Multiple-Choice Test 6
- PSAT Math Multiple-Choice Test 7
- PSAT Math Multiple-Choice Test 8
- PSAT Math Multiple-Choice Test 9
- PSAT Math Multiple-Choice Test 10
- PSAT Math Multiple-Choice Test 11
- PSAT Math Multiple-Choice Test 12
- PSAT Math Multiple-Choice Test 13
- PSAT Math Multiple-Choice Test 14
- PSAT Math Multiple-Choice Test 15
- PSAT Math Multiple-Choice Test 16
- PSAT Math Multiple-Choice Test 17
- PSAT Math Multiple-Choice Test 18
- PSAT Math Multiple-Choice Test 19
- PSAT Math Multiple-Choice Test 20
- PSAT Math Multiple-Choice Test 21
- PSAT Math Multiple-Choice Test 22
- PSAT Math Multiple-Choice Test 23
- PSAT Math Multiple-Choice Test 24
- PSAT Math Multiple-Choice Test 25