Digital PSAT Math Practice Question 59: Answer and Explanation
Question: 59
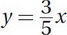
A line in the xy-plane has a slope of
and passes through the origin. Which of the following is a point on the line?
- A. (15, 10)
- B. (3, 5)
- C.

- D. (10, 6)
Correct Answer: D
Explanation:
(D) The answer choices are all positive, so let's come up with some of the positive points on the line. The line has a slope of
and passes through the origin (thus has a y-intercept of 0). So the equation for the line is:

The line starts at the origin and goes up 3 units and to the right 5 units. So (5, 3) is a point. From there, the line goes up 3 more units and to the right 5 more units, so (10, 6) is also a point, which is choice (D).
Alternatively, you could have used the process of elimination by plugging in the x-coordinates of the answer choices to get the y-coordinate at that value of x.
Test Information
- Use your browser's back button to return to your test results.
- Do more Digital PSAT Math Tests tests.
More Tests
- Digital PSAT Math Practice Test 1
- Digital PSAT Math Practice Test 2
- Digital PSAT Math Practice Test 3
- Digital PSAT Math Practice Test 4
- Digital PSAT Math Practice Test 5
- Digital PSAT Math Practice Test 6
- Digital PSAT Math Practice Test 7
- Digital PSAT Math Practice Test 8
- Digital PSAT Math Practice Test 9
- Digital PSAT Math Practice Test 10
- Digital PSAT Math Practice Test 11
- Digital PSAT Math Practice Test 12
- Digital PSAT Math Practice Test 13
- Digital PSAT Math Practice Test 14
- Digital PSAT Math Practice Test 15