Digital PSAT Math Practice Question 300: Answer and Explanation
Question: 300
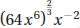
Given that x > 0, which of the following is an equivalent form of 
- A. 4x
- B. 16x2
- C.

- D.

Correct Answer: A
Explanation:
(A) Looking at the four answer choices, you can see that you should simplify your original expression in some way so that there are no longer any square roots. First try to simplify the expression in the parenthesis,
. This tells you to raise every factor inside the parentheses to the
power. In other words, you have
. Now,
since the 3 in the denominator of
tells us to take the cube root of 64 (resulting in 4) and the 2 in the numerator tells us to square the result (giving us 42 = 16). Also,
. Thus, you can rewrite the expression in parentheses as

Now, step back and look at the entire expression inside the square root,
, which is equivalent to 16x4 x-2 by your above work. Since x4 x-2 = x4-2 = x2, your expression becomes 16x2.
Thus, the original expression given in the statement of the problem,
, can be rewritten as
Since
which matches choice (A).
Test Information
- Use your browser's back button to return to your test results.
- Do more Digital PSAT Math Tests tests.
More Tests
- Digital PSAT Math Practice Test 1
- Digital PSAT Math Practice Test 2
- Digital PSAT Math Practice Test 3
- Digital PSAT Math Practice Test 4
- Digital PSAT Math Practice Test 5
- Digital PSAT Math Practice Test 6
- Digital PSAT Math Practice Test 7
- Digital PSAT Math Practice Test 8
- Digital PSAT Math Practice Test 9
- Digital PSAT Math Practice Test 10
- Digital PSAT Math Practice Test 11
- Digital PSAT Math Practice Test 12
- Digital PSAT Math Practice Test 13
- Digital PSAT Math Practice Test 14
- Digital PSAT Math Practice Test 15