Digital PSAT Math Practice Question 166: Answer and Explanation
Question: 166
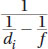
In physics, the mirror equation is
, where f represents the mirror's focal length, do is the distance of an object from the mirror, and di is the distance of the image from the mirror. Which expression gives do in terms of focal length and image distance?
- A.

- B.

- C.

- D.

Correct Answer: D
Explanation:
(D) First, isolate
by subtracting
from both sides of the equation:

We want to find do, so we need the reciprocal of
, which is do. To find the reciprocal, simply take 1 over both sides:

The answer is choice (D).
Test Information
- Use your browser's back button to return to your test results.
- Do more Digital PSAT Math Tests tests.
More Tests
- Digital PSAT Math Practice Test 1
- Digital PSAT Math Practice Test 2
- Digital PSAT Math Practice Test 3
- Digital PSAT Math Practice Test 4
- Digital PSAT Math Practice Test 5
- Digital PSAT Math Practice Test 6
- Digital PSAT Math Practice Test 7
- Digital PSAT Math Practice Test 8
- Digital PSAT Math Practice Test 9
- Digital PSAT Math Practice Test 10
- Digital PSAT Math Practice Test 11
- Digital PSAT Math Practice Test 12
- Digital PSAT Math Practice Test 13
- Digital PSAT Math Practice Test 14
- Digital PSAT Math Practice Test 15