Digital PSAT Math Practice Question 14: Answer and Explanation
Question: 14
An electronic reader typically costs $100. However, the price is heavily discounted due to both a coupon and a sale that have the same percent off the regular price. If the price using both the coupon discount and the sale discount is $49, what is the percent off the regular price that the coupon and the sale each provide independently?
- A. 25%
- B. 30%
- C. 35%
- D. 40%
Correct Answer: B
Explanation:
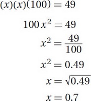
(B) Since both the coupon and the sale provide the same percent discount, you can set up an equation to determine what you must multiply $100 by in order to end up with a price of $49. Alternatively, you can simply multiply $100 by the same variable twice, which will let you determine the correct percentage:

If x equals 0.7, subtract 0.7 from 1 to find the percent discount:

This means that a 30 percent discount has been applied to the original amount two times.
Test Information
- Use your browser's back button to return to your test results.
- Do more Digital PSAT Math Tests tests.
More Tests
- Digital PSAT Math Practice Test 1
- Digital PSAT Math Practice Test 2
- Digital PSAT Math Practice Test 3
- Digital PSAT Math Practice Test 4
- Digital PSAT Math Practice Test 5
- Digital PSAT Math Practice Test 6
- Digital PSAT Math Practice Test 7
- Digital PSAT Math Practice Test 8
- Digital PSAT Math Practice Test 9
- Digital PSAT Math Practice Test 10
- Digital PSAT Math Practice Test 11
- Digital PSAT Math Practice Test 12
- Digital PSAT Math Practice Test 13
- Digital PSAT Math Practice Test 14
- Digital PSAT Math Practice Test 15