Digital PSAT Math Practice Question 125: Answer and Explanation
Question: 125
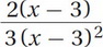
Which of the following is equivalent to the expression
?
- A.

- B.

- C.

- D.

Correct Answer: D
Explanation:
(D) Look at the answer choices. All of the choices indicate that at least one (x - 3) factor cancels out, so divide the numerator by (x - 3):

So the expression can be rewritten as:

You can cancel an (x - 3) term from the top and bottom:

The number 2 can be factored out of the numerator:

Another (x - 3) term cancels:

This is choice (D).
Alternatively, you could have factored the numerator directly:

Then you could have canceled out the (x - 3)2 term from the denominator.
Test Information
- Use your browser's back button to return to your test results.
- Do more Digital PSAT Math Tests tests.
More Tests
- Digital PSAT Math Practice Test 1
- Digital PSAT Math Practice Test 2
- Digital PSAT Math Practice Test 3
- Digital PSAT Math Practice Test 4
- Digital PSAT Math Practice Test 5
- Digital PSAT Math Practice Test 6
- Digital PSAT Math Practice Test 7
- Digital PSAT Math Practice Test 8
- Digital PSAT Math Practice Test 9
- Digital PSAT Math Practice Test 10
- Digital PSAT Math Practice Test 11
- Digital PSAT Math Practice Test 12
- Digital PSAT Math Practice Test 13
- Digital PSAT Math Practice Test 14
- Digital PSAT Math Practice Test 15